根据《矿产资源开采登记管理办法》《省委办公厅省政府办公厅关于印发〈湖北省矿业权出让制度改革工作方案〉的通知》(鄂办文〔2018〕2号)、鄂州市矿产资源总体规划(2021—2025年)和区政府相关会议精神,拟在鄂城区碧石渡镇李家境村设置鄂州市五卦山矿区建筑用闪长岩矿区。现将有关情况公示如下:
一、拟设矿区基本情况
矿区名称:鄂州市五卦山矿区建筑用闪长岩矿区
矿区位置:鄂州市鄂城区碧石渡镇李家境村
出让方式:公开出让
开采矿种:建筑用闪长岩
资源储量:以评审备案的资源储量为准
生产规模:以矿产资源开采方案为准
开采标高:以矿产资源开采方案为准
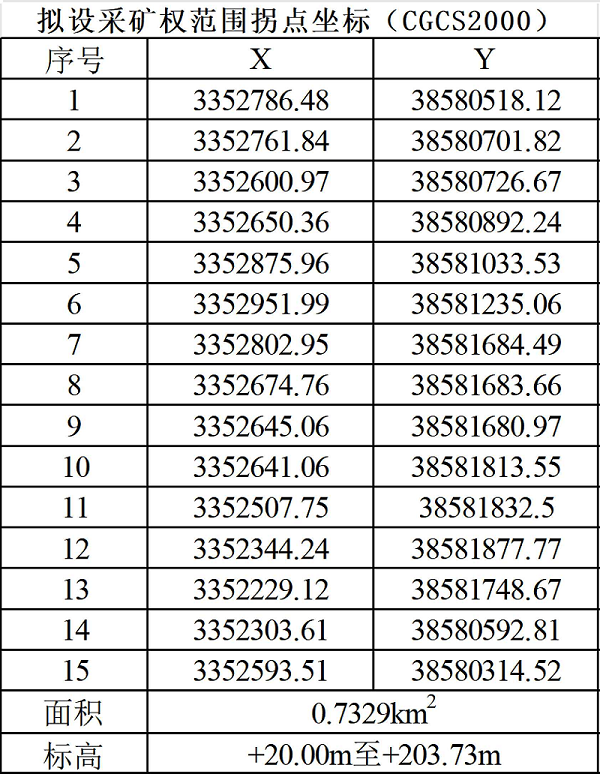
二、拟设矿区范围
拟设矿区范围由15个拐点圈定,面积0.7458平方公里(1118.7亩),矿区涉及鄂城区碧石渡镇李家境村(黄土咀村、李家边村)。
三、补偿处理
矿山勘查开采涉及的房屋、山林、青苗、坟墓、道路等问题,将按有关政策依法依规进行处理。
四、公示期限
2025年12月25日—12月31日
如对该拟设矿区范围有异议的,请在公示期间内以书面形式向鄂州市自然资源和规划局鄂城分局提出。
联系单位:鄂州市自然资源和规划局鄂城分局
联系地址:鄂州市鄂城区滨湖西路19号2006室
联 系 人:胡先生 联系电话:0711-5077889
附:拟设采矿权范围拐点坐标
鄂州市自然资源和规划局鄂城分局
2025年12月24日
附件:拟设采矿权范围拐点坐标

|
主办单位:鄂州市自然资源和城乡建设局 地址:鄂州市鄂城区吴都大道81号 联系人: 办公室(值班) 电话027-60698600 网站标识码:4207000023 鄂公网安备42070402000036号 备案号: 鄂ICP备05017375号 信息系统安全等级保护备案证书编号:42071437001-00001 站点地图 |